Come enjoy a Teen Paint Night! If you are interested, please use the QR code to register.

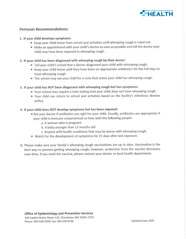
Please see the attached memos from the Wetzel-Tyler Health Department.
If you have any questions, please contact the Wetzel-Tyler Health Department directly at 304-337-2001.
Download the memos: https://aptg.co/nhFGZq
If you have any questions, please contact the Wetzel-Tyler Health Department directly at 304-337-2001.
Download the memos: https://aptg.co/nhFGZq



We look forward to seeing parents, staff, and community members at our upcoming LSIC meeting on Wednesday, November 12!

Reminder: Tomorrow is Silver and Black Friday!

Today, our school had the honor of hosting a special Veterans Day assembly organized by Mrs. Price. We were joined by several local veterans who shared lunch with our students before being recognized during the assembly. The program featured heartfelt performances from our choir and members of the TCMS band, as well as moving presentations by members of our National Junior Honor Society. It was a meaningful event full of gratitude and reflection as we came together to honor those who have served our country! 🇺🇸




Mrs. Myers sixth grade classes converted periodic tables into game boards today. The game allowed students to practice interpretting information found on the periodic table.






This afternoon, we celebrated our annual Halloween Games with friendly competitions and school spirit. Each grade level participated in a series of 10 Halloween-themed games, with representatives from every advisory class joining in the excitement. The results came down to the wire, with 8th grade taking 1st place, 7th grade earning 2nd, and 6th grade finishing in 3rd. It’s been a great week of academic field trips, a football championship, and celebrations to wrap up the first nine weeks of school. We’re proud of our students’ hard work and energy, and ready to keep the momentum going strong as we continue into the second nine weeks on Monday! #WorkHardPlayHard #KnightsPride








TCMS Families: Your child will be coming home from school today with their first 9 weeks report card and their attendance report. Please contact the school if you have any questions. Have a great weekend! #KnightsPride

Please see the attached memo from the Wetzel-Tyler Health Department. If you have any questions, please contact the Wetzel-Tyler Health Department.
PDF: https://aptg.co/vJTdlG
PDF: https://aptg.co/vJTdlG

Mr. Maiden’s TASK students showcased their creativity and problem-solving skills today at West Virginia University’s Annual Pumpkin Drop in Morgantown, WV. Over the past nine weeks of school, these students have worked diligently to design, build, and test their own pumpkin protection prototypes. Their hard work and teamwork were on full display as they represented Tyler Consolidated Middle School in this exciting STEM competition! #KnightsPride

🏆2025 LKC CHAMPIONS 🏆
The TCMS football team has done it again! With a 48-18 victory over Doddridge County, the Silver Knights are back-to-back LKC Champions! The team finishes an incredible season with an 8-1 record, showing relentless effort, teamwork, and pride every step of the way. Congratulations to our players, coaches, cheerleaders, and entire TCMS community on another championship season! #KnightsPride #Back2Back



We’re excited to celebrate Halloween at TCMS tomorrow, Friday, October 31st! Students are encouraged to participate in our annual Halloween Dress Up Day and enjoy our Halloween Games at the end of the school day.
Please remember that no face paint or masks covering the face are permitted. We look forward to seeing everyone’s creative, school-appropriate costumes! #KnightsPride
Please remember that no face paint or masks covering the face are permitted. We look forward to seeing everyone’s creative, school-appropriate costumes! #KnightsPride

We’re excited to celebrate Halloween at TCMS this Friday, October 31st! Students are encouraged to participate in our annual Halloween Dress Up Day and enjoy our Halloween Games at the end of the school day.
Please remember that no face paint or masks covering the face are permitted. We look forward to seeing everyone’s creative, school-appropriate costumes! #KnightsPride
Please remember that no face paint or masks covering the face are permitted. We look forward to seeing everyone’s creative, school-appropriate costumes! #KnightsPride

Today, our 7th grade students explored history firsthand during their field trip to Moundsville, West Virginia. They toured the historic West Virginia Penitentiary, gaining insight into its architecture, operation, and the stories that shaped its past. Students also visited the Grave Creek Mound and Archaeological Complex, where they learned about the Adena culture and examined artifacts in the museum to deepen their understanding of early Native American history. It was an engaging day of experiential learning that connected classroom studies to real-world history, and our students represented Tyler Consolidated Middle School with curiosity and respect throughout the trip! #KnightsPride










Our 8th grade students had an incredible learning experience this Monday and Tuesday at The Challenger Learning Center at Wheeling University, where they completed Operation Comet, a mock space mission in which each student was assigned a specific STEM-related role and worked in either Mission Control or aboard the Spacecraft to observe, research, and analyze long-period comets while solving real-time challenges to ensure a safe and successful mission. In addition, students engaged in an engineering design challenge in the classroom, applying scientific principles to design and test parachute prototypes capable of safely delivering a care package from a two-story drop. We are proud of their collaboration, critical thinking, and enthusiasm as they represented Tyler Consolidated Middle School and explored future careers in science, engineering, and space exploration.#KnightsPride










Check out what’s ahead this November at TCMS! #KnightsPride

Thanks to the dedication of our students, staff, families, and community, Tyler County Schools has earned outstanding rankings from Niche.
These honors reflect what we already know: when our community comes together to support education, great things happen. From our classrooms to our athletic fields, every success is a shared one.
Thank you, Tyler County, for your continued support and pride in our schools!
See all of our Niche rankings and learn more at tylercountypublicschools.com/niche
These honors reflect what we already know: when our community comes together to support education, great things happen. From our classrooms to our athletic fields, every success is a shared one.
Thank you, Tyler County, for your continued support and pride in our schools!
See all of our Niche rankings and learn more at tylercountypublicschools.com/niche






TCMS will host a Veterans Day Program during the school day on Wednesday, November 5. We invite veterans who would like to attend to join us for lunch and our program in their honor.
Please RSVP by October 29 by calling 304-758-9000 so we can plan accordingly. We look forward to celebrating and thanking those who have served!
Please RSVP by October 29 by calling 304-758-9000 so we can plan accordingly. We look forward to celebrating and thanking those who have served!

We’re excited to celebrate Halloween at TCMS this Friday, October 31st! Students are encouraged to participate in our annual Halloween Dress Up Day and enjoy our Halloween Games at the end of the school day.
Please remember that no face paint or masks covering the face are permitted. We look forward to seeing everyone’s creative, school-appropriate costumes! #KnightsPride
Please remember that no face paint or masks covering the face are permitted. We look forward to seeing everyone’s creative, school-appropriate costumes! #KnightsPride

TCMS will host a Veterans Day Program during the school day on Wednesday, November 5. We invite veterans who would like to attend to join us for lunch and our program in their honor.
Please RSVP by October 29 by calling 304-758-9000 so we can plan accordingly. We look forward to celebrating and thanking those who have served!
Please RSVP by October 29 by calling 304-758-9000 so we can plan accordingly. We look forward to celebrating and thanking those who have served!
